Free Access

Fig. 2

thumbnail

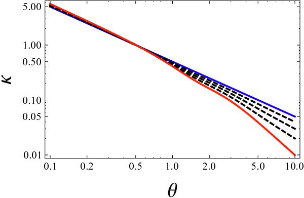
Second example of an SPT, in the axi-symmetric case, between an SIS with mass distribution κ(θ) and other mass distributions , characterized by a deformation function where we set θ1 = θE, β0 = 3θE/ 2, and different values of a = 0,1 / 4,1 / 2,3 / 4,1. For a = 0 (blue curve), the original SIS is obtained; for a = 1 (red curve), behaves like (θ1/θE)2 for large radii. As before, θ is given in units of the Einstein radius θE.

Current usage metrics show cumulative count of Article Views (full-text article views including HTML views, PDF and ePub downloads, according to the available data) and Abstracts Views on Vision4Press platform.

Data correspond to usage on the plateform after 2015. The current usage metrics is available 48-96 hours after online publication and is updated daily on week days.

Initial download of the metrics may take a while.