Free Access

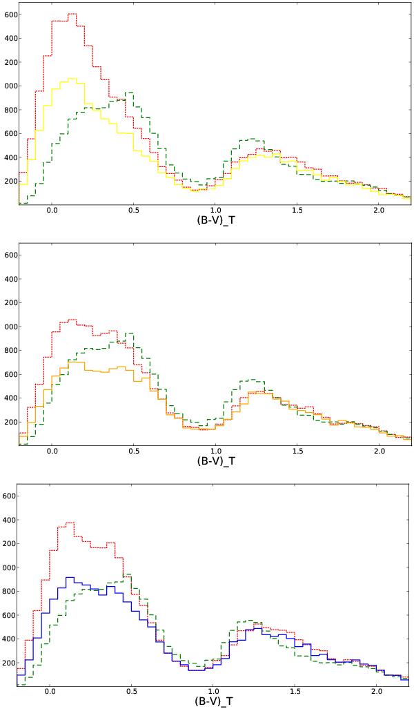
Fig. 10

thumbnail

Testing a constant and decreasing SFR with different IMFs. All three panels show the (BV)T distributions of the reference region within the Galactic plane. Tycho data in all panels is plotted using dashed green line. The top panel corresponds to Kroupa (2008) IMF, the middle to Haywood-Robin IMF and the bottom to Kroupa-Haywood v6 IMF (see Table 1). In red dotted line the simulations, which are obtained with constant SFR, and in solid yellow, orange, and blue lines, the simulations obtained with the decreasing SFR of Aumer & Binney (2009) and each IMF respectively.

This figure is made of several images, please see below:

Current usage metrics show cumulative count of Article Views (full-text article views including HTML views, PDF and ePub downloads, according to the available data) and Abstracts Views on Vision4Press platform.

Data correspond to usage on the plateform after 2015. The current usage metrics is available 48-96 hours after online publication and is updated daily on week days.

Initial download of the metrics may take a while.