Free Access

Fig. 11

thumbnail

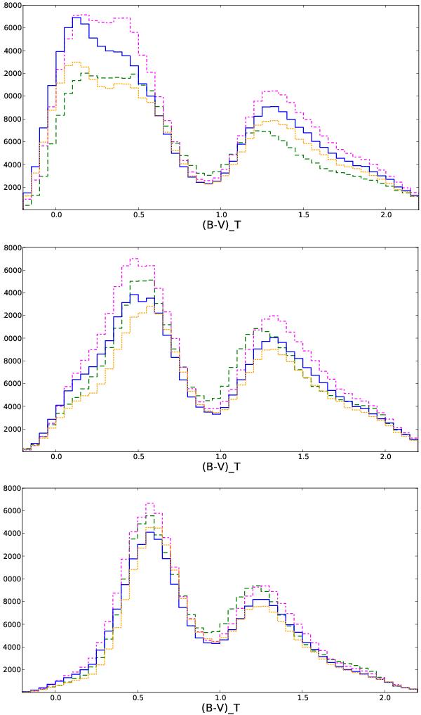
Testing different IMFs. The (BV)T distributions correspond to the (top) entire Galactic plane | b | < 10, (middle) entire stripe of the sky at 10 < | b | ≤ 30, and (bottom) the stripe of the sky at 30 < | b | ≤ 90. In dotted orange line the simulations, which are obtained with the default model A (Haywood-Robin IMF); in solid blue line we have the default model B (Kroupa-Haywood v6 IMF), and the default model combined with the best fit SFR and IMF from Just & Jahreiß (2010) is in dash-dotted magenta line. The Tycho-2 data is in dashed green line.

This figure is made of several images, please see below:

Current usage metrics show cumulative count of Article Views (full-text article views including HTML views, PDF and ePub downloads, according to the available data) and Abstracts Views on Vision4Press platform.

Data correspond to usage on the plateform after 2015. The current usage metrics is available 48-96 hours after online publication and is updated daily on week days.

Initial download of the metrics may take a while.