Free Access

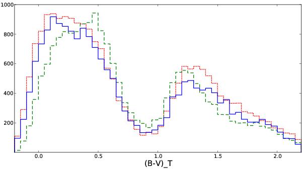
Fig. 12

thumbnail

Testing binarity. (BV)T distribution in our reference region within the Galactic plane. Tycho-2 data (dashed green line), the simulations obtained with the default model B and binarity (solid blue line) and simulations with the default model B without binarity (dotted red line) are shown.

Current usage metrics show cumulative count of Article Views (full-text article views including HTML views, PDF and ePub downloads, according to the available data) and Abstracts Views on Vision4Press platform.

Data correspond to usage on the plateform after 2015. The current usage metrics is available 48-96 hours after online publication and is updated daily on week days.

Initial download of the metrics may take a while.