Free Access

Fig. 13

thumbnail

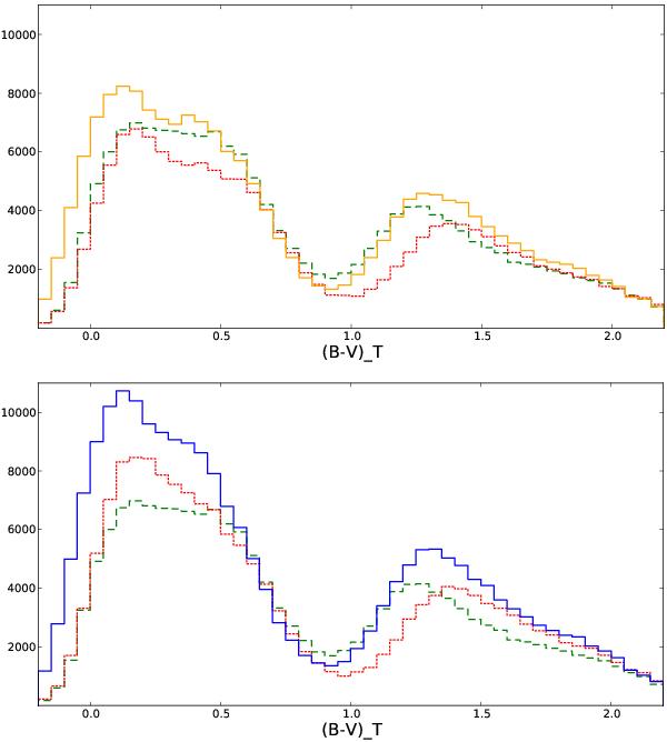
Testing two different extinction models. The presented (BV)T distributions correspond to a part of the Galactic plane | l | < 100 and | b | < 10. Top: default model A. Bottom: default model B. Two different extinction models are also used: dotted red line is Drimmel & Spergel (2001) (in both cases), solid orange line is model A with Marshall et al. (2006), solid blue line is model B with Marshall et al. (2006) and dashed green is Tycho data.

This figure is made of several images, please see below:

Current usage metrics show cumulative count of Article Views (full-text article views including HTML views, PDF and ePub downloads, according to the available data) and Abstracts Views on Vision4Press platform.

Data correspond to usage on the plateform after 2015. The current usage metrics is available 48-96 hours after online publication and is updated daily on week days.

Initial download of the metrics may take a while.