Free Access

Fig. A.3

thumbnail

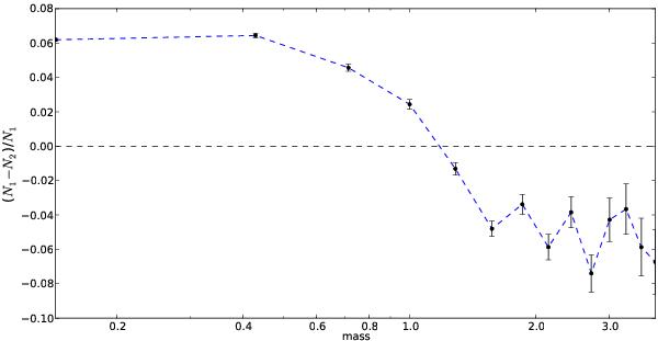
Relative difference of the number of objects when using the binarity treatment N1 containing single, primary and secondary stars, and the sample without binaries N2 that is the IMF of single stars.

Current usage metrics show cumulative count of Article Views (full-text article views including HTML views, PDF and ePub downloads, according to the available data) and Abstracts Views on Vision4Press platform.

Data correspond to usage on the plateform after 2015. The current usage metrics is available 48-96 hours after online publication and is updated daily on week days.

Initial download of the metrics may take a while.