Free Access

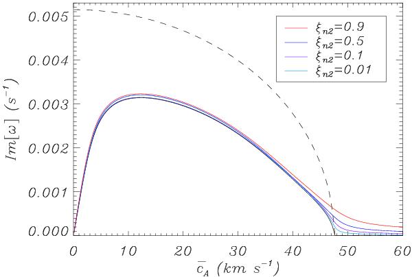
Fig. 3

thumbnail

Linear growth rate of the RTI for a partiallyl ionized plasma (taking into account ambipolar diffusion) as a function of the Alfvén speed . The dashed line corresponds to the incompressible limit given in Eq. (1) and the black solid line to the compressible MHD results from Sect. 4.3. The values ρ2/ρ1 = 100, β = 0.1, θ = 40, k = 10-7 m-1, ccrit = 33 km s-1, and ξn1 = 10-4 have been used.

Current usage metrics show cumulative count of Article Views (full-text article views including HTML views, PDF and ePub downloads, according to the available data) and Abstracts Views on Vision4Press platform.

Data correspond to usage on the plateform after 2015. The current usage metrics is available 48-96 hours after online publication and is updated daily on week days.

Initial download of the metrics may take a while.