Free Access

Fig. 4

thumbnail

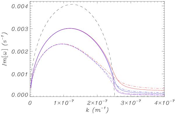
Linear growth rate of the RTI for a partiallyl ionized plasma as a function of perturbation wavenumber k. The dashed line corresponds to the incompressible limit given in Eq. (1). The values ρ2/ρ1 = 100, θ = 40, , and ξn1 = 10-6 have been used. Solid lines are calculated with β = 0.1 and dot-dashed lines with β = 0.5, while red lines have a value for the neutral fraction ξn2 = 0.9, blue lines ξn2 = 0.5, and purple lines ξn2 = 0.1.

Current usage metrics show cumulative count of Article Views (full-text article views including HTML views, PDF and ePub downloads, according to the available data) and Abstracts Views on Vision4Press platform.

Data correspond to usage on the plateform after 2015. The current usage metrics is available 48-96 hours after online publication and is updated daily on week days.

Initial download of the metrics may take a while.