Free Access

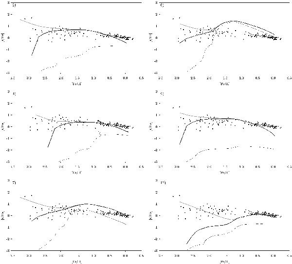
Fig. 7

thumbnail

Predicted (solid black) and observed (dots) temporal evolution of the r-process element yields, as well as predicted evolution with double NS mergers only (thin black) and with core collapse supernova yields included (solid gray, see text). Corresponding model numbers are indicated in the top left corner of all figure panels.

Current usage metrics show cumulative count of Article Views (full-text article views including HTML views, PDF and ePub downloads, according to the available data) and Abstracts Views on Vision4Press platform.

Data correspond to usage on the plateform after 2015. The current usage metrics is available 48-96 hours after online publication and is updated daily on week days.

Initial download of the metrics may take a while.