Free Access

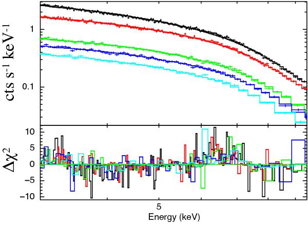
Fig. 3

thumbnail

Top panel: folded spectra of the five Suzaku observations (OBS1 to OBS5 from top to bottom) fitted by a power law in the 310 keV energy range. For clarity, only the XIS0+XIS3 spectra are plotted. They have been rebinned to have 30σ per bin. The bottom panel shows the contributions to the χ2.

Current usage metrics show cumulative count of Article Views (full-text article views including HTML views, PDF and ePub downloads, according to the available data) and Abstracts Views on Vision4Press platform.

Data correspond to usage on the plateform after 2015. The current usage metrics is available 48-96 hours after online publication and is updated daily on week days.

Initial download of the metrics may take a while.