Free Access

Fig. 4

thumbnail

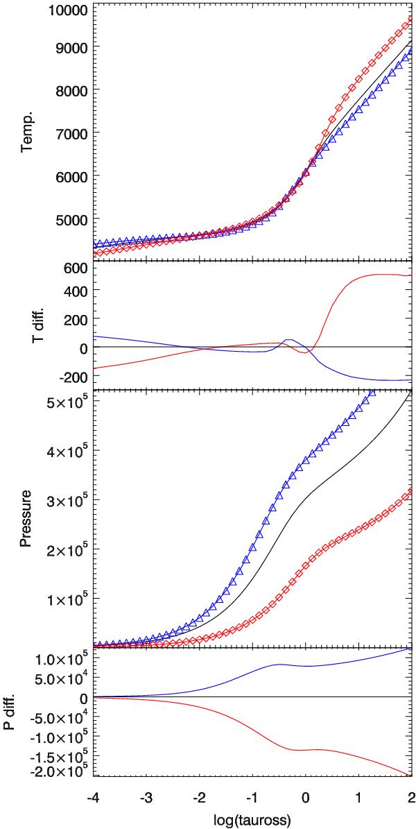
Comparison of Atlas 12 atmosphere models with Teff = 5600 log  g = 4.5, Vturb = 1.0, [α/Fe] = +0.4 and [Fe/H] = −2.5 (blue line and triangles), [Fe/H] = −1.5 (black line), and [Fe/H] = −0.5 (red line and diamonds). Top to bottom: temperature for the three models, temperature difference (red line, [Fe/H] = −0.5 – [Fe/H] = −1.5; blue line, [Fe/H] = −2.5 – [Fe/H] = −1.5), pressure in g cm-2, pressure difference, all plotted vs. τross.

Current usage metrics show cumulative count of Article Views (full-text article views including HTML views, PDF and ePub downloads, according to the available data) and Abstracts Views on Vision4Press platform.

Data correspond to usage on the plateform after 2015. The current usage metrics is available 48-96 hours after online publication and is updated daily on week days.

Initial download of the metrics may take a while.