Free Access

Fig. 12

thumbnail

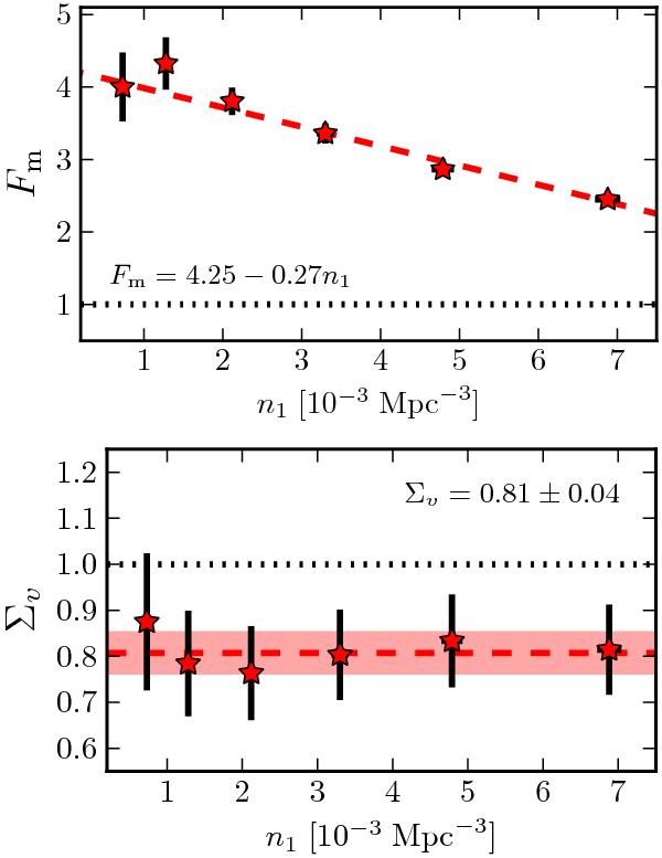
Top panel: Merger fraction in real samples over the average merger fraction in random samples, Fm, as a function of the number density n1. The dotted line marks identity. The dashed line marks the best least-squares linear fit to the data, Fm = 4.25 − 0.27n1. Bottom panel: Cosmic variance in real samples over the average cosmic variance in random samples, Σv, as a function of the number density n1. The dotted line marks identity. The dashed line is the error-weighted average of the data, Σv = 0.81 ± 0.04, and the coloured area its 68% confidence interval. A colour version of this plot is available in the electronic edition.

This figure is made of several images, please see below:

Current usage metrics show cumulative count of Article Views (full-text article views including HTML views, PDF and ePub downloads, according to the available data) and Abstracts Views on Vision4Press platform.

Data correspond to usage on the plateform after 2015. The current usage metrics is available 48-96 hours after online publication and is updated daily on week days.

Initial download of the metrics may take a while.