Free Access

Fig. 4

thumbnail

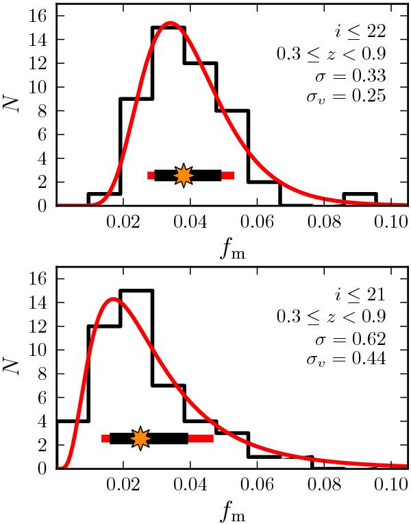
Distribution of the merger fraction fm for i ≤ 22 (top panel) and i ≤ 21 (bottom panel) galaxies in the 48 ALHAMBRA sub-fields, as measured from close pairs with 10 h-1 kpc ≤ rp ≤ 30 h-1 kpc at 0.3 ≤ z< 0.9. In each panel, the red solid line is the best least-squares fit of a log-normal function to the data. The star and the red bar mark the median and the 68% confidence interval of the fit, respectively. The black bar marks the confidence interval from the maximum likelihood analysis of the data and is our measurement of the cosmic variance σv. A colour version of this plot is available in the electronic edition.

This figure is made of several images, please see below:

Current usage metrics show cumulative count of Article Views (full-text article views including HTML views, PDF and ePub downloads, according to the available data) and Abstracts Views on Vision4Press platform.

Data correspond to usage on the plateform after 2015. The current usage metrics is available 48-96 hours after online publication and is updated daily on week days.

Initial download of the metrics may take a while.