Free Access

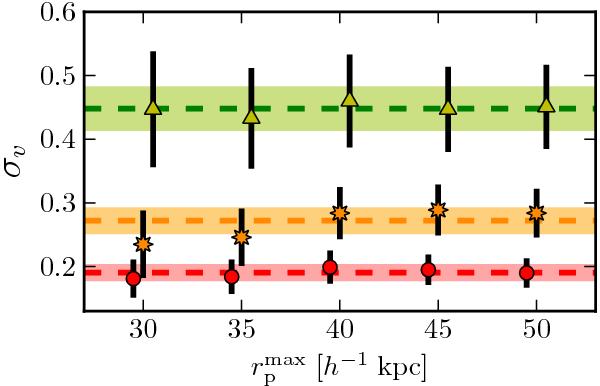
Fig. 6

thumbnail

Cosmic variance σv as a function of for i ≤ 22.5,21.5, and 21 galaxies at 0.3 ≤ z< 0.9 (circles, stars, and triangles, respectively). The horizontal lines mark the error-weighted average of the cosmic variance in each case, and the coloured areas mark their 68% confidence intervals. A colour version of this plot is available in the electronic edition.

Current usage metrics show cumulative count of Article Views (full-text article views including HTML views, PDF and ePub downloads, according to the available data) and Abstracts Views on Vision4Press platform.

Data correspond to usage on the plateform after 2015. The current usage metrics is available 48-96 hours after online publication and is updated daily on week days.

Initial download of the metrics may take a while.