Free Access

Fig. 10

thumbnail

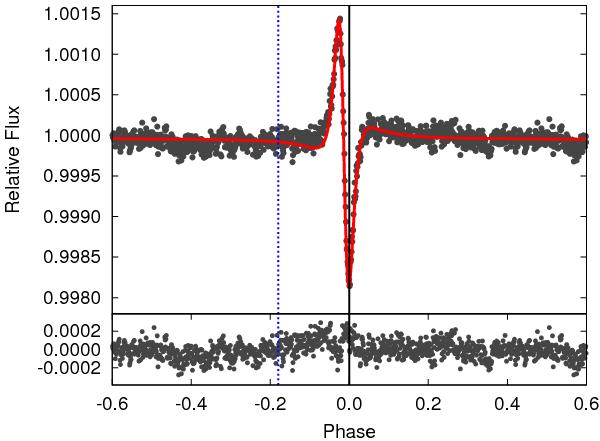
Theoretical phoebe model without beaming (red line) and observed light curve (black points) of the phased (94.82 d), binned Kepler long-cadence data of Quarters 0–12. Lower panel: residuals of the best-fit model. The dashed and solid lines are centred on the times of superior and inferior conjunction respectively.

Current usage metrics show cumulative count of Article Views (full-text article views including HTML views, PDF and ePub downloads, according to the available data) and Abstracts Views on Vision4Press platform.

Data correspond to usage on the plateform after 2015. The current usage metrics is available 48-96 hours after online publication and is updated daily on week days.

Initial download of the metrics may take a while.