Free Access

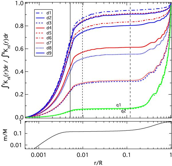
Fig. 8

thumbnail

Normalised integrated rotation kernels of the dipole  = 1 (blue and red) and quadrupole  = 2 modes (green) for the two central radial orders as a function of fractional radius. The kernel labels refer to modes in Fig. 7. The vertical lines indicate from left to right the border of the He core (solid line), the H-burning shell (short-dashed line), and the base of the convective envelope (long-dashed line). Bottom panel: the model’s fractional mass as a function of the fractional radius. The labels (not the colours) of dipole and quadrupole modes are consistent with Fig. 7.

Current usage metrics show cumulative count of Article Views (full-text article views including HTML views, PDF and ePub downloads, according to the available data) and Abstracts Views on Vision4Press platform.

Data correspond to usage on the plateform after 2015. The current usage metrics is available 48-96 hours after online publication and is updated daily on week days.

Initial download of the metrics may take a while.