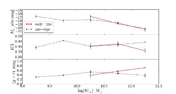
Fig. 10
 
      Mean r-band absolute magnitude (upper panel), ICI (middle panel), and (g − r) rest-frame colour (lower panel) for bound physical satellites as a function of CIG galaxy stellar mass. Mean satellite properties for early-type (T≤ 0, red solid line) and late-type (T> 0, blue dashed line) CIG galaxies are represented. Error bars are given by the standard deviation.
Current usage metrics show cumulative count of Article Views (full-text article views including HTML views, PDF and ePub downloads, according to the available data) and Abstracts Views on Vision4Press platform.
Data correspond to usage on the plateform after 2015. The current usage metrics is available 48-96 hours after online publication and is updated daily on week days.
Initial download of the metrics may take a while.
