Free Access

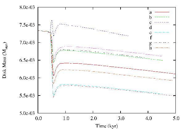
Fig. 8

thumbnail

Mass of the disk around the star harbouring the planet as a function of time for the different models summarized in Table 1. The flyby is marked by a jump followed by a slow mass decrease.

Current usage metrics show cumulative count of Article Views (full-text article views including HTML views, PDF and ePub downloads, according to the available data) and Abstracts Views on Vision4Press platform.

Data correspond to usage on the plateform after 2015. The current usage metrics is available 48-96 hours after online publication and is updated daily on week days.

Initial download of the metrics may take a while.