Free Access
    
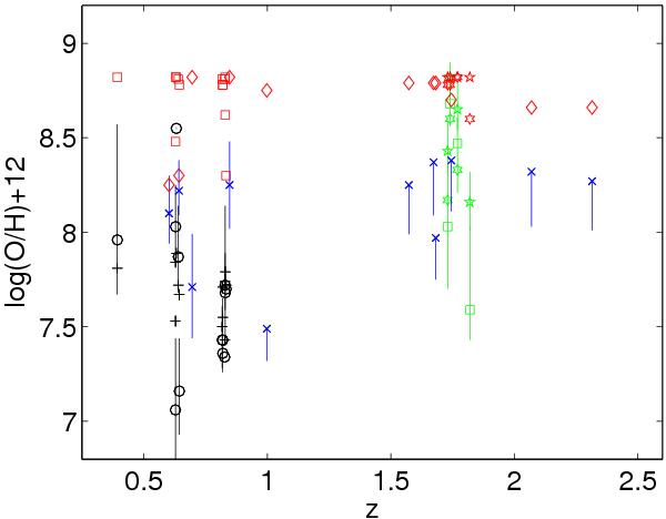
Fig. 8
 
      O/H relative abundances as a function of z. From Kakazu et al.: black circles (direct method); black pluses (Yin et al. method); red squares (models). From Xia et al.: blue crosses (calibration); red diamonds (models). From Henry et al.: green symbols (see text); red stars (models).
Current usage metrics show cumulative count of Article Views (full-text article views including HTML views, PDF and ePub downloads, according to the available data) and Abstracts Views on Vision4Press platform.
Data correspond to usage on the plateform after 2015. The current usage metrics is available 48-96 hours after online publication and is updated daily on week days.
Initial download of the metrics may take a while.
