Free Access

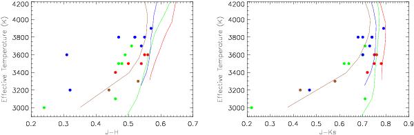
Fig. 8

thumbnail

Effective temperature versus near-infrared colours of our sample of subdwarfs. The different colours stand for different metallicities: [Fe/H] = −0.5 to −0.7 dex (red), [Fe/H] = −1.0 to −1.2 dex (green), [Fe/H] = − 1.3 to −1.6 dex (blue), [Fe/H] = −1.7 dex (brown). The lines are from evolution models from Baraffe et al. (1998) at different metallicities (red: −0.5 dex, green: −1.0 dex, blue: −1.5 dex, brown: − 2.0 dex) assuming an age of 10 Gyr.

This figure is made of several images, please see below:

Current usage metrics show cumulative count of Article Views (full-text article views including HTML views, PDF and ePub downloads, according to the available data) and Abstracts Views on Vision4Press platform.

Data correspond to usage on the plateform after 2015. The current usage metrics is available 48-96 hours after online publication and is updated daily on week days.

Initial download of the metrics may take a while.