Free Access

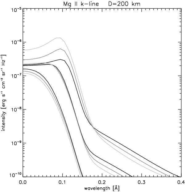
Fig. 2

thumbnail

Mg ii k line profiles of the normally emergent radiation from slabs with D = 200 km. The three sets of curves, increasing in their intensity, correspond to three gas pressures p = 0.01, 0.1, and 0.5 dyne cm-2. The gray scale corresponds to three temperatures: T = 6000 K (black), 8000 K (dark gray), and 10 000 K (light gray). Only one half of the symmetrical profiles is displayed.

Current usage metrics show cumulative count of Article Views (full-text article views including HTML views, PDF and ePub downloads, according to the available data) and Abstracts Views on Vision4Press platform.

Data correspond to usage on the plateform after 2015. The current usage metrics is available 48-96 hours after online publication and is updated daily on week days.

Initial download of the metrics may take a while.