Free Access

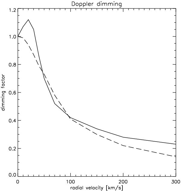
Fig. 9

thumbnail

Examples of the Doppler dimming effect on the Mg ii k line. Shown is the dimming factor versus radial velocity, where the dimming factor is defined as the ratio of the line integrated intensity at a given velocity to the intensity at zero velocity. The plots correspond to models with D = 1000 km, T = 8000 K, p = 0.1 dyne cm-2, and two different turbulent velocities of 5 km s-1 (full line) and 20 km s-1 (dashed line).

Current usage metrics show cumulative count of Article Views (full-text article views including HTML views, PDF and ePub downloads, according to the available data) and Abstracts Views on Vision4Press platform.

Data correspond to usage on the plateform after 2015. The current usage metrics is available 48-96 hours after online publication and is updated daily on week days.

Initial download of the metrics may take a while.