Free Access

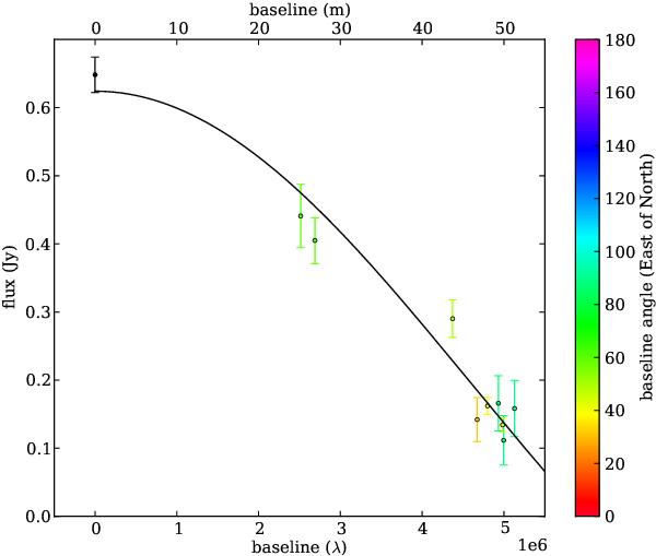
Fig. 3

thumbnail

Correlated flux at 10 μm for each of the successful MIDI observations, color-coded following the baseline angle at which the observations were done. The baseline-0 observation (black point) corresponds to the average photometric flux of the observations. The full line shows a fit with the correlated-flux profile of an infinitesimally thin ring of angular diameter θ = 26.3 mas (reduced χ2 = 1.54).

Current usage metrics show cumulative count of Article Views (full-text article views including HTML views, PDF and ePub downloads, according to the available data) and Abstracts Views on Vision4Press platform.

Data correspond to usage on the plateform after 2015. The current usage metrics is available 48-96 hours after online publication and is updated daily on week days.

Initial download of the metrics may take a while.