Free Access

Fig. 2

thumbnail

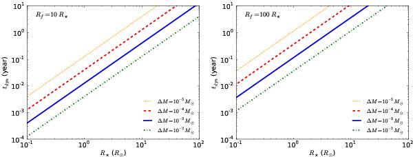
Dynamical time tdyn of the material ejected from a stellar surface because of the over-Eddington luminosity. ΔM is the mass lost from the stellar core. Left panel shows the dynamical time required to reach 10 R from R. Right panel shows the dynamical time required to reach 100 R from R.

This figure is made of several images, please see below:

Current usage metrics show cumulative count of Article Views (full-text article views including HTML views, PDF and ePub downloads, according to the available data) and Abstracts Views on Vision4Press platform.

Data correspond to usage on the plateform after 2015. The current usage metrics is available 48-96 hours after online publication and is updated daily on week days.

Initial download of the metrics may take a while.