Free Access

Fig. 2

thumbnail

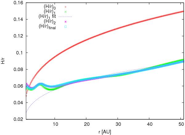
Evolution of H/r in the disc for the different stages. The disc features = 2 × 10-7 M/yr. At the beginning, in the (H/r)0 stage, α0 = 0.001, which we change to α1 = 0.003 after the stage (H/r)1 is reached. The stage (H/r)2 shows the aspect ratio after the viscosity has change and (H/r)final shows the final stage after the surface density has been re-arranged.

Current usage metrics show cumulative count of Article Views (full-text article views including HTML views, PDF and ePub downloads, according to the available data) and Abstracts Views on Vision4Press platform.

Data correspond to usage on the plateform after 2015. The current usage metrics is available 48-96 hours after online publication and is updated daily on week days.

Initial download of the metrics may take a while.