Free Access

Fig. 2

thumbnail

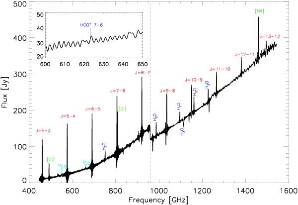
SPIRE spectra of NGC 253: short wavelength and long wavelength bands are separated by a dotted black line. 12CO transitions are marked in red, 13CO transitions in light blue, atomic transitions in green and H2O and HCO+ lines in dark blue.

Current usage metrics show cumulative count of Article Views (full-text article views including HTML views, PDF and ePub downloads, according to the available data) and Abstracts Views on Vision4Press platform.

Data correspond to usage on the plateform after 2015. The current usage metrics is available 48-96 hours after online publication and is updated daily on week days.

Initial download of the metrics may take a while.