Highlight
Free Access

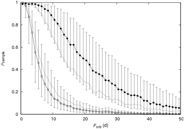
Fig. 6

thumbnail

Median expected WASP sampling probability (psample) as a function of orbital period (Porb). The filled circles are the case for a system of two identical stars, while the open circles are that for a star with a small dark companion. The dotted lines demonstrate the large change in sampling probabilities between the two eclipses per orbit case and that for a single eclipse, calculated for a 0.5 R companion.

Current usage metrics show cumulative count of Article Views (full-text article views including HTML views, PDF and ePub downloads, according to the available data) and Abstracts Views on Vision4Press platform.

Data correspond to usage on the plateform after 2015. The current usage metrics is available 48-96 hours after online publication and is updated daily on week days.

Initial download of the metrics may take a while.