Highlight
Free Access

Fig. 7

thumbnail

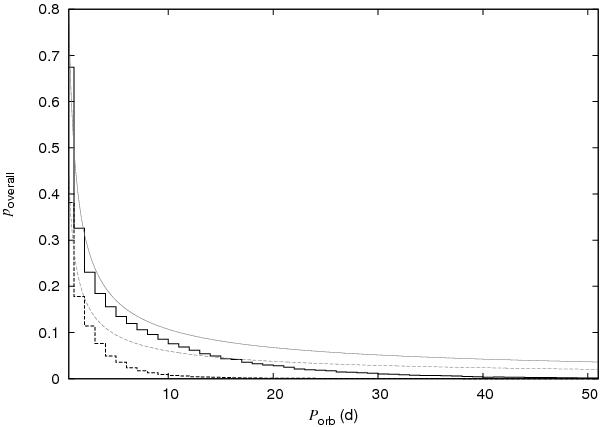
Overall expected WASP detection probability (poverall) as function of orbital period (Porb). The solid histogram is the case for a system with two identical stars, while the dashed histogram is that for a star with a small dark companion. The corresponding eclipsing probabilities discussed in Sect. 6.1 are given as grey lines for reference.

Current usage metrics show cumulative count of Article Views (full-text article views including HTML views, PDF and ePub downloads, according to the available data) and Abstracts Views on Vision4Press platform.

Data correspond to usage on the plateform after 2015. The current usage metrics is available 48-96 hours after online publication and is updated daily on week days.

Initial download of the metrics may take a while.