Free Access

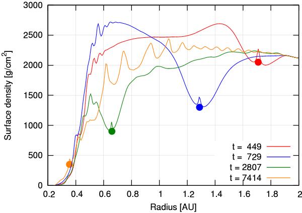
Fig. 10

thumbnail

Averaged radial surface density of a disk with an embedded planet. The colors correspond to the times of the snapshots shown in Fig. 9. The big circle in each graph represents the radial position of the planet at the time corresponding to the graph. For illustrative purposes, we have moved the circles close to their corresponding curves.

Current usage metrics show cumulative count of Article Views (full-text article views including HTML views, PDF and ePub downloads, according to the available data) and Abstracts Views on Vision4Press platform.

Data correspond to usage on the plateform after 2015. The current usage metrics is available 48-96 hours after online publication and is updated daily on week days.

Initial download of the metrics may take a while.