Free Access

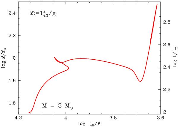
Fig. 7

thumbnail

sHR diagram showing the evolutionary track of a 3  M star. This track is identical to a track in the HR diagram, and the stellar luminosity is given by the alternative Y-axis on the right side of the diagram.

Current usage metrics show cumulative count of Article Views (full-text article views including HTML views, PDF and ePub downloads, according to the available data) and Abstracts Views on Vision4Press platform.

Data correspond to usage on the plateform after 2015. The current usage metrics is available 48-96 hours after online publication and is updated daily on week days.

Initial download of the metrics may take a while.