Free Access
    
Fig. 1
 
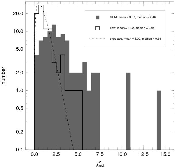
       histograms for experiments 1 (filled) and 3 (continuous line). The dotted line shows the expected distribution for an ideal experiment. Note that the vertical scale is logarithmic.
 histograms for experiments 1 (filled) and 3 (continuous line). The dotted line shows the expected distribution for an ideal experiment. Note that the vertical scale is logarithmic.
Current usage metrics show cumulative count of Article Views (full-text article views including HTML views, PDF and ePub downloads, according to the available data) and Abstracts Views on Vision4Press platform.
Data correspond to usage on the plateform after 2015. The current usage metrics is available 48-96 hours after online publication and is updated daily on week days.
Initial download of the metrics may take a while.
