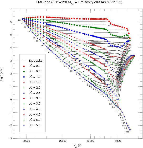
Fig. B.1
 
      The Teff–luminosity class distance-calibrated SED family for the LMC developed for CHORIZOS. The black lines are the Geneva/Padova evolutionary tracks between 0.15 M⊙ and 120 M⊙ (a label at the beginning of the track shows the initial mass). Different symbols are used for the luminosity types 0.0, 0.5...5.5. Note that luminosity types are defined at 0.1 intervals but only those at 0.5 intervals are shown for clarity.
Current usage metrics show cumulative count of Article Views (full-text article views including HTML views, PDF and ePub downloads, according to the available data) and Abstracts Views on Vision4Press platform.
Data correspond to usage on the plateform after 2015. The current usage metrics is available 48-96 hours after online publication and is updated daily on week days.
Initial download of the metrics may take a while.
