Press Release
Free Access

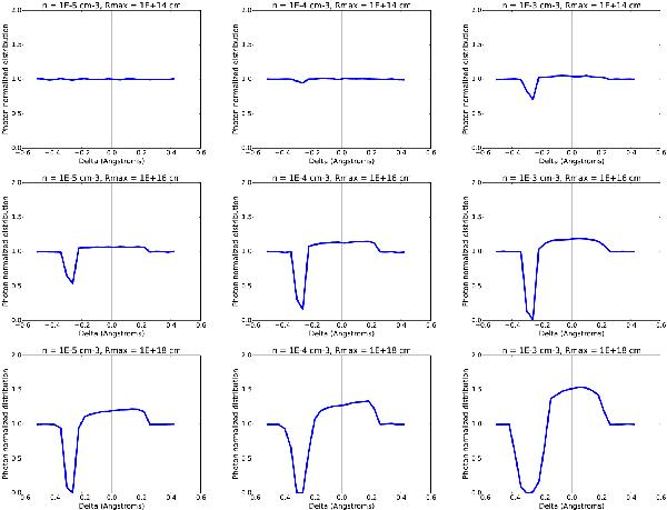
Fig. B.1

thumbnail

Illustrative example of nine Monte Carlo simulations carried out with the envelope parameters T = 1000 K and vexp = 10 km s-1. The density (n, in cm-3) and the envelope size (Rmax, in cm) increase from left to right and from top to bottom, respectively. We show the displacement (in Angstroms) from the rest wavelength (Delta λ − λ0, where λ0 is indicated by a vertical line) to the emergent wavelength distribution.

Current usage metrics show cumulative count of Article Views (full-text article views including HTML views, PDF and ePub downloads, according to the available data) and Abstracts Views on Vision4Press platform.

Data correspond to usage on the plateform after 2015. The current usage metrics is available 48-96 hours after online publication and is updated daily on week days.

Initial download of the metrics may take a while.