Free Access

Fig. 2

thumbnail

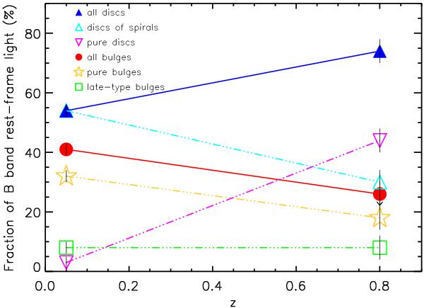
Evolution of the B-band rest-frame light since z ~ 0.8. The local results at a redshift z ~ 0 are taken from Tasca & White (2011). Filled red circles and blue triangles represent the whole B-band rest-frame light in the bulge and disc components. The empty stars and squares stand for the pure bulge and the spheroid populations, while the empty triangles are for bulgeless galaxies and the disc components of spirals. The lines help to guide the eyes.

Current usage metrics show cumulative count of Article Views (full-text article views including HTML views, PDF and ePub downloads, according to the available data) and Abstracts Views on Vision4Press platform.

Data correspond to usage on the plateform after 2015. The current usage metrics is available 48-96 hours after online publication and is updated daily on week days.

Initial download of the metrics may take a while.