Free Access

Fig. A.3

thumbnail

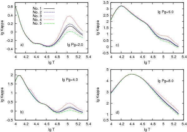
Examples of the Rosseland-mean opacities lgκR [ cm2 g-1 ] calculated by Meszaros et al. for different chemical composition of elements and ξ = 2km s-1 (Table A.2). The data plotted for the gas pressure, lgPg = 2,4,6, and 8 (in cgs units) were taken from the ATLAS-APOGEE website on 2013.

Current usage metrics show cumulative count of Article Views (full-text article views including HTML views, PDF and ePub downloads, according to the available data) and Abstracts Views on Vision4Press platform.

Data correspond to usage on the plateform after 2015. The current usage metrics is available 48-96 hours after online publication and is updated daily on week days.

Initial download of the metrics may take a while.