Free Access

Fig. 7

thumbnail

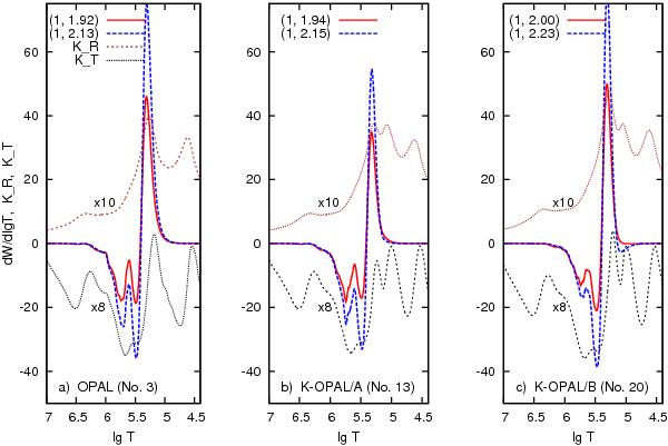
Differential work integrals, Rosseland-mean opacities and their derivatives over temperature of l = 1 modes were plotted for the OPAL (opacity data No. 3), K-OPAL/A (No. 13), and K-OPAL/B (No. 20) models of M = 12 M (Xc ≈ 0.24). For better visibility, κR and κT were multiplied by factors equal to 10 and 8, respectively. The numbers shown on the top of the panels (1,1.92) mean l = 1 and σ = 1.92, etc. (A color version of the figure is available online.)

Current usage metrics show cumulative count of Article Views (full-text article views including HTML views, PDF and ePub downloads, according to the available data) and Abstracts Views on Vision4Press platform.

Data correspond to usage on the plateform after 2015. The current usage metrics is available 48-96 hours after online publication and is updated daily on week days.

Initial download of the metrics may take a while.