Free Access

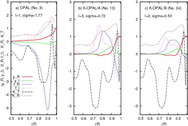
Fig. 9

thumbnail

Examples of the luminosity f = fR + ifI and radial displacement y = yR + iyI eigenfunctions for unstable modes of seismic models of M = 40 M (Xc ≈ 0.26) calculated with the opacity data Nos. 3, 13, and 24, respectively. κR and κT were also plotted. (A color version of the figure is available online.)

Current usage metrics show cumulative count of Article Views (full-text article views including HTML views, PDF and ePub downloads, according to the available data) and Abstracts Views on Vision4Press platform.

Data correspond to usage on the plateform after 2015. The current usage metrics is available 48-96 hours after online publication and is updated daily on week days.

Initial download of the metrics may take a while.