Free Access

Fig. 1

thumbnail

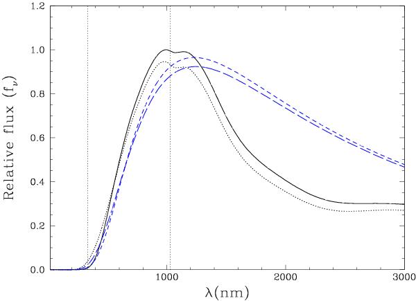
Comparison of model SEDs with Teff = 4000 K and log g = 8.0. The pure-H models (in black) are computed with and without the Lyman-α opacity (solid and dotted lines). The pure-He models (in blue) are drawn from the sequence using the equation of state of Bergeron et al. (1995) and using the improved high-density physics of Kowalski et al. 2007 (medium and long dashed lines). The dotted vertical lines show the limits where the Gaia transmission is higher than 5%.

Current usage metrics show cumulative count of Article Views (full-text article views including HTML views, PDF and ePub downloads, according to the available data) and Abstracts Views on Vision4Press platform.

Data correspond to usage on the plateform after 2015. The current usage metrics is available 48-96 hours after online publication and is updated daily on week days.

Initial download of the metrics may take a while.