Free Access

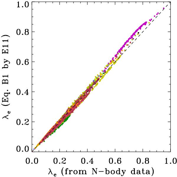
Fig. 1

thumbnail

Comparison between the value of the λe parameter derived directly from the N-body data (using Eq. (1)) and the one estimated through Eq. (B1) of Emsellem et al. (2007) using (V/σ)e (Eq. (4) here), for the 200 projections of our remnants and the original galaxies. The dashed line marks the 1:1 relation. The projections corresponding to the same model are plotted with the same color. (This figure is available in color in electronic form.)

Current usage metrics show cumulative count of Article Views (full-text article views including HTML views, PDF and ePub downloads, according to the available data) and Abstracts Views on Vision4Press platform.

Data correspond to usage on the plateform after 2015. The current usage metrics is available 48-96 hours after online publication and is updated daily on week days.

Initial download of the metrics may take a while.