Press Release
Highlight
Free Access

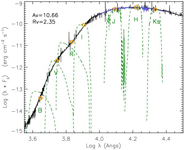
Fig. 1

thumbnail

Comparison of the observed and synthetic spectral energy distributions of Wd1-5. Broadband photometry is given by the yellow diamonds, with the corresponding bandpasses given by the dashed green lines. The observed and synthetic spectra are given by the black and blue lines, respectively.

Current usage metrics show cumulative count of Article Views (full-text article views including HTML views, PDF and ePub downloads, according to the available data) and Abstracts Views on Vision4Press platform.

Data correspond to usage on the plateform after 2015. The current usage metrics is available 48-96 hours after online publication and is updated daily on week days.

Initial download of the metrics may take a while.