Free Access

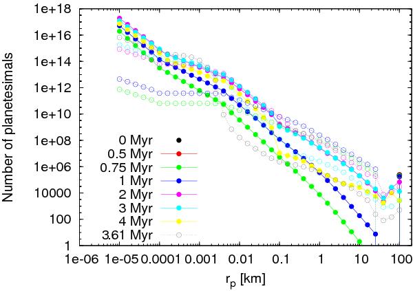
Fig. 12

thumbnail

Time evolution of the number of planetesimals adopting km and a disk ten times more massive than the MMSN. Filled circles represent the case where the mass loss in collisions is deposited in smaller fragments, while open circles represent the case where the mass loss in collisions is deposited in larger fragments. For this last case, the planet achieved the critical mass at ~3.61 Myr. (Color version online.)

Current usage metrics show cumulative count of Article Views (full-text article views including HTML views, PDF and ePub downloads, according to the available data) and Abstracts Views on Vision4Press platform.

Data correspond to usage on the plateform after 2015. The current usage metrics is available 48-96 hours after online publication and is updated daily on week days.

Initial download of the metrics may take a while.