Free Access

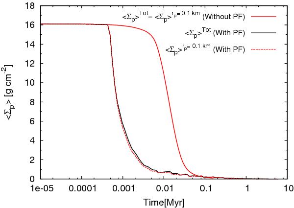
Fig. 3

thumbnail

Time evolution of the mean value of the surface density of planetesimals in the feeding zone for a disk 6 times more massive than the MMSN. For the case without planetesimal fragmentation (red solid curve), the total surface density corresponds to planetesimals of radius 0.1 km. This is not the case when planetesimal fragmentation is considered (solid black curve). However, the total surface density is dominated by the surface density of planetesimals of 0.1 km (dashed red curve). (Color version online.)

Current usage metrics show cumulative count of Article Views (full-text article views including HTML views, PDF and ePub downloads, according to the available data) and Abstracts Views on Vision4Press platform.

Data correspond to usage on the plateform after 2015. The current usage metrics is available 48-96 hours after online publication and is updated daily on week days.

Initial download of the metrics may take a while.