Free Access

Fig. 5

thumbnail

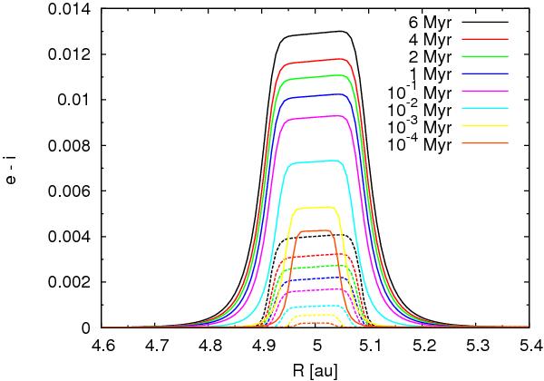
Time evolution of the radial profiles of the eccentricities (solid lines) and inclinations (dashed lines) in the embryo’s neighborhood for planetesimals with a radius of 0.1 km. With time, the planet’s gravitational excitation increases the eccentricities and inclinations of the planetesimals. It is also clear that planetesimals do not reach equilibrium values (β = i/e ≠ 0.5). (Color version online.)

Current usage metrics show cumulative count of Article Views (full-text article views including HTML views, PDF and ePub downloads, according to the available data) and Abstracts Views on Vision4Press platform.

Data correspond to usage on the plateform after 2015. The current usage metrics is available 48-96 hours after online publication and is updated daily on week days.

Initial download of the metrics may take a while.