Free Access

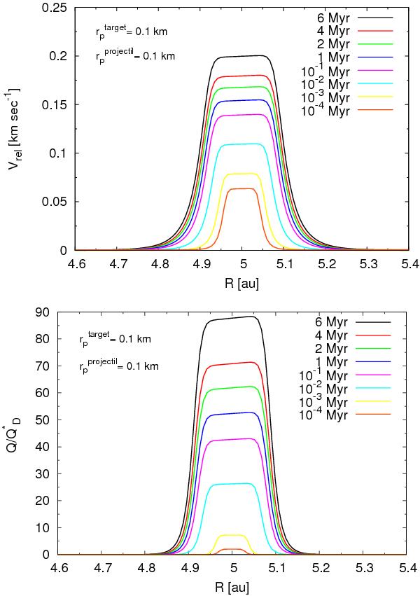
Fig. 6

thumbnail

Time evolution of the radial profiles for the relative velocities (top) and for the ratio (bottom) for targets and projectiles of radius 0.1 km when both belong to the same radial bin. In contrast, the relative velocities are always lower than 1 km s-1, the ratio is much higher than unity at very early times. For this reason, collisions quickly become highly catastrophic at early times. (Color version online.)

This figure is made of several images, please see below:

Current usage metrics show cumulative count of Article Views (full-text article views including HTML views, PDF and ePub downloads, according to the available data) and Abstracts Views on Vision4Press platform.

Data correspond to usage on the plateform after 2015. The current usage metrics is available 48-96 hours after online publication and is updated daily on week days.

Initial download of the metrics may take a while.