Free Access

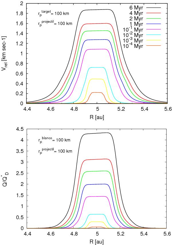
Fig. 8

thumbnail

Time evolution of the relative velocity profiles (top) and the ratio profiles (bottom) for targets and projectiles of radii 100 km. The profiles represent the case for km and a disk six times more massive than the MMSN. Despite the higher values of the relative velocities of planetesimals with rp = 100 km, the ratio is lower compared with the case for small planetesimals. This is because the specific impact energy () for planetesimals of rp = 100 km is approximately three orders of magnitude higher than that for planetesimals of rp = 0.1 km. (Color version online.)

This figure is made of several images, please see below:

Current usage metrics show cumulative count of Article Views (full-text article views including HTML views, PDF and ePub downloads, according to the available data) and Abstracts Views on Vision4Press platform.

Data correspond to usage on the plateform after 2015. The current usage metrics is available 48-96 hours after online publication and is updated daily on week days.

Initial download of the metrics may take a while.