Free Access

Fig. 5

thumbnail

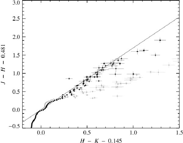
Verification of the reddening law. The points show the color excess E(JK) as a function of the color excess E(HK). The gray measurements are contaminated by the Sagitarius Dwarf galaxy (see Fig. 3). The solid line shows the normal infrared reddening law (Indebetouw et al. 2005). Error bars are uncertainties evaluated from the photometric errors of the 2MASS catalog.

Current usage metrics show cumulative count of Article Views (full-text article views including HTML views, PDF and ePub downloads, according to the available data) and Abstracts Views on Vision4Press platform.

Data correspond to usage on the plateform after 2015. The current usage metrics is available 48-96 hours after online publication and is updated daily on week days.

Initial download of the metrics may take a while.