Free Access

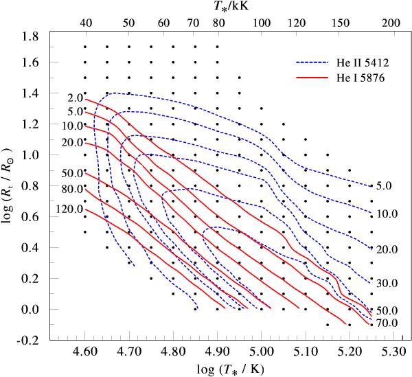
Fig. 2

thumbnail

Grid of models for hydrogen-free WN stars in the LMC: contours of constant line emission, labeled with the equivalent width in Å; thick (red) contours: He i line at 5876 Å, thin-dashed (blue) contours: He ii at 5412 Å. Tiny dots indicate calculated grid models.

Current usage metrics show cumulative count of Article Views (full-text article views including HTML views, PDF and ePub downloads, according to the available data) and Abstracts Views on Vision4Press platform.

Data correspond to usage on the plateform after 2015. The current usage metrics is available 48-96 hours after online publication and is updated daily on week days.

Initial download of the metrics may take a while.