Free Access

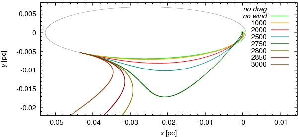
Fig. 10

thumbnail

Trajectory of a single dust grain (d = 1 μm) for different cases of the central wind outflow velocity. The grey ellipse corresponds to the nominal trajectory, neglecting the drag by the wind. The values of the outflow velocity are expressed in km s-1 in the legend.

Current usage metrics show cumulative count of Article Views (full-text article views including HTML views, PDF and ePub downloads, according to the available data) and Abstracts Views on Vision4Press platform.

Data correspond to usage on the plateform after 2015. The current usage metrics is available 48-96 hours after online publication and is updated daily on week days.

Initial download of the metrics may take a while.