Free Access

Fig. 14

thumbnail

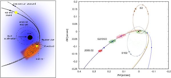
Sketch of the model geometry for a binary with a common envelope (in the left panel) and the orientation consistent with the G2/DSO nominal trajectory on the sky (in the right panel). The two components (i.e., hot star+neutron star in this example) deviate from each other, the first one being bound and the other one unbound at the moment of pericentre passage. The cloud is then dispersed in the ambient medium and eventually accreted onto the SMBH.

This figure is made of several images, please see below:

Current usage metrics show cumulative count of Article Views (full-text article views including HTML views, PDF and ePub downloads, according to the available data) and Abstracts Views on Vision4Press platform.

Data correspond to usage on the plateform after 2015. The current usage metrics is available 48-96 hours after online publication and is updated daily on week days.

Initial download of the metrics may take a while.