Free Access

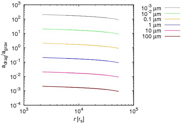
Fig. 4

thumbnail

Ratio of the hydrodynamical drag to the gravitational acceleration across the range of radii. The two effects can be of comparable magnitude and, therefore, both need to be taken into account in the model of the orbit evolution.

Current usage metrics show cumulative count of Article Views (full-text article views including HTML views, PDF and ePub downloads, according to the available data) and Abstracts Views on Vision4Press platform.

Data correspond to usage on the plateform after 2015. The current usage metrics is available 48-96 hours after online publication and is updated daily on week days.

Initial download of the metrics may take a while.